Ponieważ gwóźdź wbija się w puszkę (zderzenie jest niesprężyste), w zderzeniu tym
spełniona jest jedynie zasada zachowania pędu, zatem pęd gwoździa przed zderzeniem jest
równy pędowi puszki i gwoździa po zderzeniu, czyli:

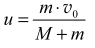
skąd można wyznaczyć prędkość puszki z wbitym gwoździem:

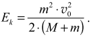
Energię kinetyczną puszki z wbitym gwoździem można przedstawić w postaci:

skąd po wstawieniu równania:

i dokonaniu przekształceń otrzymamy:

Na poruszającą się po podłożu puszkę działa siła tarcia

która wykonuje pracę na drodze
s,
powodując zmniejszenie prędkości, a zatem również energii kinetycznej puszki
aż do 0. Wartość pracy siły tarcia możemy przedstawić jako:

Porównując pracę siły tarcia z energią kinetyczną, możemy wyznaczyć prędkość gwoździa:
